ニュース
2005年度(H17)以前
| 投稿ID | No.65 | |
| 投稿者名 | 投稿者名:全日私幼連事務局 | |
| 最終更新日 | 2006/03/14 00:00:00 | |
| 内容 | 保育者としての資質向上研修俯瞰図 ○俯瞰図について |
|
| 添付ファイル: H18fukanzu.doc (29KB) | ||
| 投稿ID | No.66 | |
| 投稿者名 | 投稿者名:全日私幼連事務局 | |
| 最終更新日 | 2006/03/14 00:00:00 | |
| 内容 | 保育者としての資質向上研修俯瞰図 ○俯瞰図 |
|
| 添付ファイル: H18fukanzu.xls (62KB) | ||
| 投稿ID | No.67 | |
| 投稿者名 | 投稿者名:全日私幼連事務局 | |
| 最終更新日 | 2006/03/14 00:00:00 | |
| 内容 | 保育者としての資質向上研修俯瞰図 ○俯瞰図/ビジョン |
|
| 添付ファイル: H18vision.doc (130KB) | ||
| 投稿ID | No.63 | |
| 投稿者名 | 投稿者名:全日私幼連事務局 | |
| 最終更新日 | 2006/01/20 00:00:00 | |
| 内容 | 平成18年度・地方交付税措置額(案) | |
| 添付ファイル: H18sokuho2.pdf (58KB) | ||
| 投稿ID | No.62 | |
| 投稿者名 | 投稿者名:全日私幼連事務局 | |
| 最終更新日 | 2006/01/10 00:00:00 | |
| 内容 | 【FAX速報】 ○平成18年1月1日付け読売新聞朝刊の報道(幼稚園から義務教育)について http://www.mext.go.jp/b_menu/houdou/18/01/06010501.htm |
|
| 添付ファイル: H18sokuho1.pdf (56KB) | ||
| 投稿ID | No.53 | |
| 投稿者名 | 投稿者名:全日私幼連事務局 | |
| 最終更新日 | 2005/08/31 00:00:00 | |
| 内容 | 平成18・19年度 教育研究課題 | |
| 添付ファイル: H1819Kyoiku.doc (79KB) | ||
| 投稿ID | No.47 | |
| 投稿者名 | 投稿者名:全日私幼連事務局 | |
| 最終更新日 | 2005/05/31 00:00:00 | |
| 内容 | 幼稚園個人情報管理規程例(案) | |
| 添付ファイル: KanriKitei.doc (41KB) | ||
| 投稿ID | No.46 | |
| 投稿者名 | 投稿者名:全日私幼連事務局 | |
| 最終更新日 | 2005/04/06 00:00:00 | |
| 内容 | 総合施設モデル事業実施園 一覧表 | |
| 添付ファイル: H17sogosisetu.jpg (126KB) | ||
| 投稿ID | No.43 | |
| 投稿者名 | 投稿者名:全日私幼連事務局 | |
| 最終更新日 | 2005/01/20 00:00:00 | |
| 内容 | 平成17年度・地方交付税措置額(案) | |
|
添付ファイル:
H17koufuzei.gif
(131KB)
|
||
| 投稿ID | No.39 | |
| 投稿者名 | 投稿者名:全日私幼連事務局 | |
| 最終更新日 | 2004/11/26 00:00:00 | |
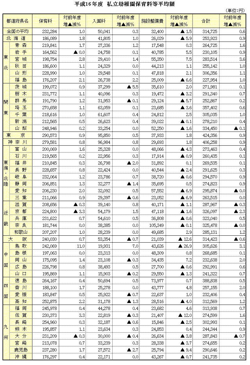
| 内容 | 平成16年度 私立幼稚園保育料等平均額 | |
|
添付ファイル:
H16hoiku_ryo2.gif
(61KB)
|
||
| 投稿ID | No.40 | |
| 投稿者名 | 投稿者名:全日私幼連事務局 | |
| 最終更新日 | 2004/11/26 00:00:00 | |
| 内容 | 平成16年度 公私立幼稚園保育料等平均額の比較 | |
|
添付ファイル:
H16hoiku_ryo1.gif
(70KB)
|
||
| 投稿ID | No.38 | |
| 投稿者名 | 投稿者名:全日私幼連事務局 | |
| 最終更新日 | 2004/10/15 00:00:00 | |
| 内容 |
増刊号】私幼時報 ○国庫補助制度堅持のため、今こそ一致結束行動しよう! |
|
|
添付ファイル:
siyo_zokan.pdf
(213KB)
|
||
| 投稿ID | No.26 | |
| 投稿者名 | 投稿者名:全日私幼連事務局 | |
| 最終更新日 | 2004/01/01 00:00:00 | |
| 内容 | 自己点検表(実施するにあたって) | |
|
添付ファイル:
jisshi.doc
(28KB)
|
||
| 投稿ID | No.27 | |
| 投稿者名 | 投稿者名:全日私幼連事務局 | |
| 最終更新日 | 2004/01/01 00:00:00 | |
| 内容 | 自己点検表(設置者・園長編) | |
|
添付ファイル:
setti_entyo.xls
(52KB)
|
||
| 投稿ID | No.28 | |
| 投稿者名 | 投稿者名:全日私幼連事務局 | |
| 最終更新日 | 2004/01/01 00:00:00 | |
| 内容 | 自己点検表(教職員編) | |
|
添付ファイル:
kyoshokuin.xls
(81KB)
|
||
| 投稿ID | No.18 | |
| 投稿者名 | 投稿者名:全日私幼連事務局 | |
| 最終更新日 | 2003/05/27 00:00:00 | |
| 内容 |
提 言 書 20世紀後半、敗戦の焦土から、わが国民は奇跡の復興を成し遂げ、経済大国を築きあげてきました。日本の教育の仕組みはこの動きに有効に機能し、一定の成果をあげてきたと評価できます。 近年、経済構造は大きく変化し、少子高齢社会をむかえ、人々の価値観も大いに多様化しました。人類史の最先端に立ち、誰もが体験したことのない社会に直面 したといえましょう。ここに教育制度の改革が求められる根拠があります。新しい時代に適応した教育制度が整えられてこそ、教育は力を発揮し、21世紀社会 において、日本は多大の貢献をすることができます。 教育は家庭において始まり、学校教育は幼稚園教育に始まり高等教育へとつながっていきます。 今、そのそれぞれの段階で、すでに知られている多くの困難に直面しています。この困難を克服し、子どもたちを健全に育成することなくしてわが国の繁栄はあ りえません。この課題に関して、小学校入学前の教育に限定して提言させていただきたいと思います。 すべての動物にとって、子育ては親の命がけの 大事業です。子育てを他者が代行することはできません。その中で、人間の子どもは哺乳動物の中でも、大人が持っている能力に対して、極端に過少の能力で生 まれてきますが、生後すぐから外部の情報を受ける機能を相当高度に持っています。緊密な親子の関係を前提として、一対一で教育されることによって子どもは 育っていくのです。この大原則が現在の日本の社会で揺らいでいるのは、きわめて危険なことです。 親の利便性が優先し、子どもの育ち、発達といっ た視点を欠いた施策が展開されてきています。先進諸国は幼児教育を一元化し、教育を中心とした施策を展開しています。子ども同士が集団での生活を通して、 知識を増やし、他者の心を読み取ることを学び、人としてより深く育っていくのです。 子育てが苦しみであることを喧伝するような施策が、出生率を改善させるわけがありません。子育ては喜びであり、社会的にも価値ある仕事であることを具体的に示し、その上で生涯学習の視点から乳幼児期の教育制度を根本から考えていくことが必要です。 現在、小学校入学前の子どもの育成は、学校教育制度としての幼稚園(文部科学省所管)と、福祉制度としての保育所(厚生労働省所管)とに分かれており、十分に整理・調整されないままに施策が展開されています。 行政の一本化を前提に、家庭、幼稚園、保育所での子どもたちの教育を、子どもが幸福に育つといった観点から再構築しなければなりません。 そのために、『小学校入学前の乳幼児の教育・養護のあり方を検討する会議』を内閣府に設置し、下記の事項について早急に検討することを提言いたします。 (1)すべての子どもたちに良質な教育を保障する 家庭教育の重要性と子どもを育てる上での家庭の責任を再確認し、その前提のもとで家庭教育と学校教育との連携のあり方を明確にする。その上で幼稚園と保育所における良質な教育を、すべての子どもたちに保障する。 (2)子育て家庭への支援策 労働時間は週48時間から40時間へと劇的に短縮された。その一方で保育所での保育時間は長時間化が進み、週50時間から60時間の保育も例外ではなく なっている。家庭において幸福に育つという子どもの権利の観点からきわめて遺憾な事態であるばかりでなく、親として育つ機会を保護者から奪うことともなっ ている。また保育時間の極端な長時間化は少子化対策としては機能していない。子育て家庭の支援策を、就労のあり方を含め検討し、有効かつ公正な具体策を立 案する。 (3)子ども省(仮称)の設置 幼稚園教育は文部科学省、保育所は厚生労働省という二元行政を解消し、子ども省(仮称)として行政を一本化する。わが国の子どもたちを全体として把握した合理的かつ効率的な施策を展開し、生涯教育の視点から一貫した教育体系を構築する。 (4)利用者にとって平等な公的助成 行政を子ども省(仮称)として一本化した上で、公費の公正かつ効果的な支出を実現する。わが国のすべての子どもたちに公平で、納税者の立場からも適正な公費負担のあり方を確立する。 以 上 |
|
| 投稿ID | No.9 | |
| 投稿者名 | 投稿者名:全日私幼連事務局 | |
| 最終更新日 | 2002/04/01 00:00:00 | |
| 内容 |
幼稚園設置基準の一部改正の概要 1. 改正の経緯 文部科学省は、教育改革国民会議、「21世 紀教育新生プラン」などを踏まえ、私立学校の設置の促進を含め、多様な小・中学校の設置を促進する観点から、小・中学校の設置基準を平成13年度中に策定 することとしている。この設置基準の策定に合わせて、幼稚園設置基準の一部を見直し、改正することとする。 2. 改正のポイント (1) 自己点検評価及び情報提供について(第2条の2・第2条の3関係) 幼稚園が、幼児の状況や地域の保育ニーズなどに応じた特色ある主体的な教育活動を展開し、地域住民の信頼に応え、地域に開かれた幼稚園として運営できる よう、自己点検評価及びその結果の公表に努めるとともに、積極的な情報提供を行う。なお、実施に際しては、各園が実態に応じて、教育目標、教育内容、運営 方針、研修の状況、施設設備など幼稚園運営に係る点検評価 項目を具体的に設定して、客観的に点検評価すること、また、その結果を広く周知を図る方法で情 報提供することが望ましい。 (2) 幼稚園の園長、教諭の併任について(第5条第4項関係) 幼稚園の設置者と同一の者が設置する当該幼稚園以外の学校の校長や教諭等が当該幼稚園の園長や教諭等を併任できることを、明示。 (3) 施設・設備等の安全性等について(第7条及び第10条関係) 幼稚園の施設及び設備、幼稚園に置かれる園具及び教具に関して、安全性等を考慮することについて、明示。 (4) 園舎及び運動場の位置について(第8条第2項関係) 園舎及び運動場は、同一の敷地内を原則としているが、例外としてすでに認めている隣接する場合も、明示。 (5) 他の施設及び設備等の使用について(第12条関係) 幼稚園が保護者や地域の多様なニーズに対応していわゆる「預かり保育」や子育て支援活動の実施など、より弾力的に運営することができるよう、特別の事情 があるときは、教育上及び安全上支障がない限り、保育室として利用する場合も含めて、他の学校その他の施設や設備を使用できるものとする。 3. 施行期日 この省令は、平成14年4月1日から施行する。ただし、第2条の2及び第2条の3の規定を除く規定は、平成15年4月1日から施行する。 |
|
